Linguagem

+86-18857986217

Entre em contato

imagem

Nº 892, Changhong East Street, Fuxi Street, Deqing County, Huzhou City, Zhejiang Province, China

Material de purificação de proteção ambiental Nantong Lyusen Co., Ltd.

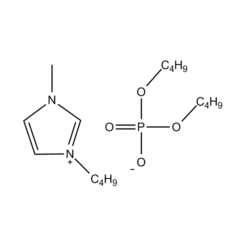
Fosfato de dibutil 1-butil-3-metilimidazólio Fornecedores de Líquidos

Ar limpo, um direito humano

Lar / Produto / Líquidos Iônicos / Líquidos Iônicos Personalizados / Fosfato de dibutil 1-butil-3-metilimidazólio
01Parâmetro 02Personalizar
Fórmula molecular C 16 H 33 N 2 Ó 4 P
Peso molecular 348.42
Nº CAS 663199-28-8
Pureza 98%

Sobre LanDe
Desenvolvimento de tecnologia energética Co. de Zhejiang LanDe, Ltd.
(LETD) é uma empresa de produção de líquidos iônicos fundada em 2009, com sede em No. 892 Changhong East Street, Zona de Desenvolvimento Econômico do Condado de Deqing, província de Zhejiang. O capital social da empresa é de 36,9 milhões de yuans e os ativos totais são de 220 milhões de yuans.
A Ldet Technology concentra-se na pesquisa, desenvolvimento, produção e vendas de líquidos iônicos e aditivos flexíveis para produtos eletrônicos, aplicados principalmente em áreas como indústria química de petróleo e carvão, baterias de lítio, conservação de energia e proteção ambiental, indústria nuclear, produtos farmacêuticos verdes, dissolução de fibras biológicas, filmes ópticos e produtos químicos diários. Os produtos da empresa têm aplicações estáveis ​​no campo da catálise e estão expandindo suas aplicações industriais em áreas como extração de óleo branco, eletrólitos sólidos/semi-sólidos, eletrólitos de alumínio eletrolítico de baixa temperatura, catalisadores de degradação de PET, etc. no processo de produção de separadores de bateria de lítio/fibras de polietileno de peso molecular ultra-alto. É uma empresa nacional de alta tecnologia e uma das principais empresas cultivadas no Plano Phoenix da província de Zhejiang.
Certificado de Honra
  • honor
  • honor
  • honor
  • honor
  • honor
  • honor
  • honor
  • honor
Notícias
Feedback da mensagem